國學院大學久我山高等学校過去問研究
國學院大學久我山高等学校の2013年度数学入試問題は 例年通り大問4題構成で、出題内容は1.小問集合10問 2.整数の性質 3.空間図形 4.関数のグラフでした。
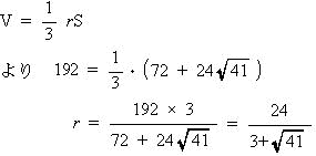
今回は 3.空間図形を解説します。補助線の引き方に工夫しましょう。
今回は 3.空間図形を解説します。補助線の引き方に工夫しましょう。
プロ家庭教師集団スペースONEプロの技術をご家庭にお届けします。私たちにお任せください。
電話: 03-4363-5472
090-3432-2593
お問い合わせ
受付時間: 平日 AM 10:00 〜 PM 9:00










