東京都立高等学校共通数学過去問研究
2026年度の東京都立高校の入学者選抜試験は2月21日に実施されました。
東京都教育委員会発表令和8年度数学出題の方針
1 出題の方針 数量や図形などに関する基礎的・基本的な事項についての知識及び技能をみると ともに,これらを活用して問題を解決するために必要な数学的な思考力,判断力,
表現力等をみる。
2 各問のねらい
1 数と式,図形,データの活用の各領域に関する基礎的・基本的な事項について の知識及び技能をみる。
2 数学的活動の場面をもとに,数学的な見方・考え方を働かせ,事象を数理的に 考察し処理する能力や,推論の過程を的確に表現する能力をみる。
3 関数についての知識及び技能をみるとともに,関数関係を表現し,見通しをも って論理的に考察し処理する能力をみる。
4 平面図形についての知識及び技能をみるとともに,見通しをもって論理的に考 察し処理する能力や,推論の過程を的確に表現する能力をみる。
5 空間図形についての知識及び技能をみるとともに,図形の性質や関係を直観的 に捉え,見通しをもって論理的に考察し処理する能力をみる。
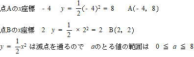
今回は3.関数を解説します。




