日本大学医学部過去問研究2009年度数学入試問題1(小問集合)
こんにちは。医学部受験担当プロ家庭教師の川島です。
日本大学医学部数学入試問題は小問集合8,大問3の4問構成でした。
日本大学医学部数学入試問題は小問集合8,大問3の4問構成でした。
小問集合は全て複雑な解法を必要としない平易な出題です。解答時間は75分ですので、小問は1問1~2分以内を目安に正答したいものです。
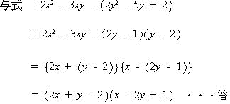
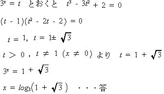
今回は小問集合8問の解説をします。
電話: 03-4363-5472
090-3432-2593
受付時間: 平日 AM 10:00 〜 PM 9:00










