日本大学医学部過去問研究2015年度数学入試問題
こんにちは。医学部受験担当プロ家庭教師の田中です。
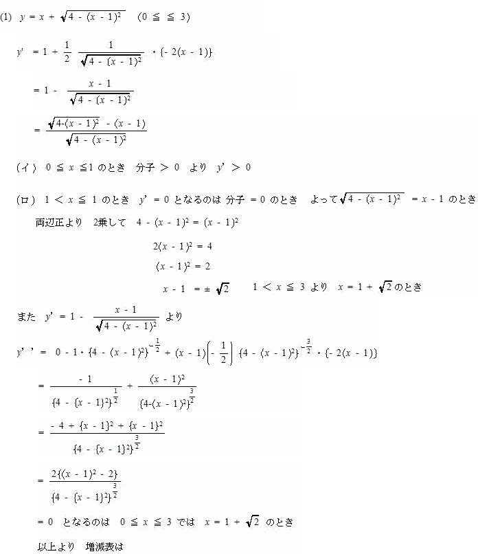
日大医学部の2015年度の数学入試問題[4]数学Ⅲの微積分を解説します。(1)ではy''まで計算してから増減表を書く必要があります。(2)ではsinを用いて置換積分を行うことが大切です。
日大医学部の2015年度の数学入試問題[4]数学Ⅲの微積分を解説します。(1)ではy''まで計算してから増減表を書く必要があります。(2)ではsinを用いて置換積分を行うことが大切です。
電話: 03-4363-5472
090-3432-2593
受付時間: 平日 AM 10:00 〜 PM 9:00



