日本大学一般選抜統一入試N方式数学入試問題
こんにちは。大学受験担当プロ家庭教師の吉田です。
日本大学一般選抜N方式は、学部・学科間併願だけでなく、同一学部内の複数学科への併願が可能な入試方式です。
あらゆる学問領域を網羅し、同じ学問領域においても、多面的アプローチが可能な学部・学科を擁する日本大学だからこそ、一回の受験で複数の学科を併願することができるのは大きなメリットです。
2022年度から医学部単独の入試(A方式)は無くなり、一次試験は全学統一入試(N方式)だけになり、理科・外国語・数学の得点を標準化得点に換算し、合否判定し、二次試験で数学・外国語に加え面接が数学外国語同様に配点60点で評価されます。
面接評価を重視し、調査書等を含めて多元的な尺度から複数の評価者により適格性の評価を判定するため学力検査の成績に関わらず不合格となることがあります。
一般選抜における主体性の評価について、インターネット出願サイトのマイページに入力した内容を面接時の参考資料として活用します。
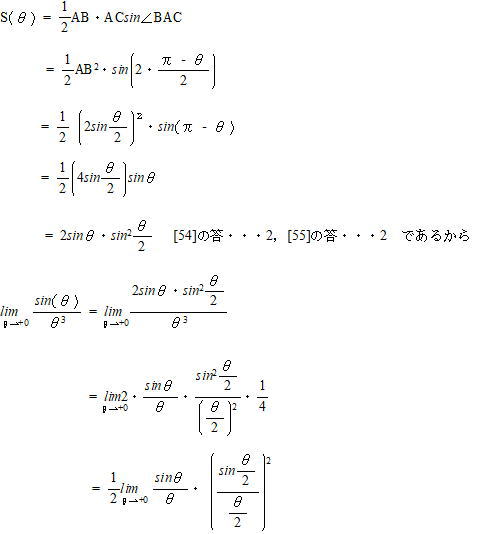
今回は 2022年度一般選抜N方式第2期数学入試問題から数学Ⅱの三角関数の極限値を求める問題を解説します。基本公式を用いることで解決します。

完答したい問題です。
日本大学一般選抜N方式は、学部・学科間併願だけでなく、同一学部内の複数学科への併願が可能な入試方式です。
あらゆる学問領域を網羅し、同じ学問領域においても、多面的アプローチが可能な学部・学科を擁する日本大学だからこそ、一回の受験で複数の学科を併願することができるのは大きなメリットです。
2022年度から医学部単独の入試(A方式)は無くなり、一次試験は全学統一入試(N方式)だけになり、理科・外国語・数学の得点を標準化得点に換算し、合否判定し、二次試験で数学・外国語に加え面接が数学外国語同様に配点60点で評価されます。
面接評価を重視し、調査書等を含めて多元的な尺度から複数の評価者により適格性の評価を判定するため学力検査の成績に関わらず不合格となることがあります。
一般選抜における主体性の評価について、インターネット出願サイトのマイページに入力した内容を面接時の参考資料として活用します。
今回は 2022年度一般選抜N方式第2期数学入試問題から数学Ⅱの三角関数の極限値を求める問題を解説します。基本公式を用いることで解決します。
完答したい問題です。





