日本医科大学医学部過去問研究2025年度一般前期数学入試問題
こんにちは 医学部指導専門プロ家庭教師の田中です。
日本医科大学2025年2月1日実施前期数学入試では1.サイコロの確率 2.空間ベクトル 3.空間の通過領域と回転 4.微積分総合が出題されました。
今回は2.空間ベクトルを解説します。
[解き方のポイント]
難しい知識は要求されないが、計算量が多い。
ふだんの学習から入試での答案を意識して
・図をこまめに書くこと。
・ある程度の暗算を正確にすること。
・採点者にわかってもらえるように書っこと。を心掛けよう。
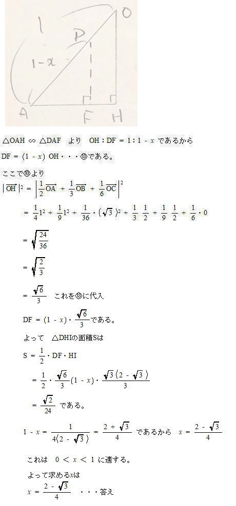
日本医科大学医学部2025年度一般前期数学入試問題2.空間ベクトル問題









