日本医科大学医学部過去問研究2014年度物理入試問題
こんにちは医学部受験プロ家庭教師の田中八郎です。
  
  2014年度の日本医科大学の物理は、例年通り1.小問2問、2~4大問の大問4題構成でした。
  
  今回は[1]の小問から(1)物理Ⅰの力学の仕事とエネルギーを解説します。
  
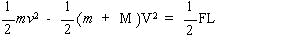
  求める速さ,力,距離などをⅤ,F,Xなどとおいて正しい式をたてます。木材の中を弾丸が進むときに働く力をきちんと理解することが大切です。
  
2014年度日本医科大学一般前期物理入試問題1.

    
    




