日本医科大学医学部過去問研究2017年度数学入試問題
こんにちは医学部受験数学担当プロ家庭教師の田中です。
今回は2017年度日本医科大学前期数学入試問題Ⅰ数列の問題を解説します。
問1では逆数を取ること。
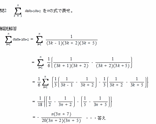
問2では部分分数に分けること。
![]()
2017年度日本医科大学一般前期数学入試問題1.数列

プロ家庭教師集団スペースONEプロの技術をご家庭にお届けします。私たちにお任せください。
こんにちは医学部受験数学担当プロ家庭教師の田中です。
今回は2017年度日本医科大学前期数学入試問題Ⅰ数列の問題を解説します。
問1では逆数を取ること。
問2では部分分数に分けること。
![]()

| 問1. 解説解答 |
![]() |
| 問1. 解説解答 |
![]() |
| 問1. 解説解答 |
![]() |