聖マリアンナ医科大学医学部2017年度数学入試問題
こんにちは 医学部受験指導専門プロ家庭教師の田中です。
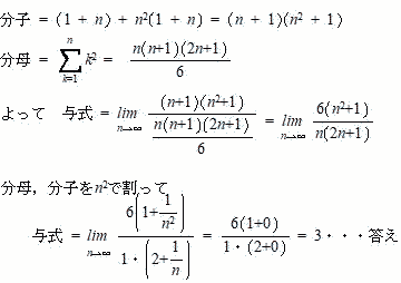
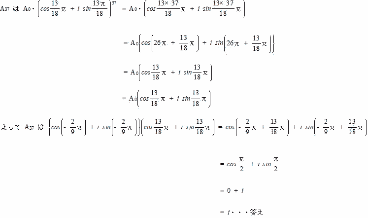
今回は聖マリアンナ医科大学医学部2017年度数学入試問題から第1問の(1) ,(2)を解説します。(1)は極限値の標準問題です。分母と分子を因数分解型にしてから計算します。(2)は複素数の原点の周りの回転の計算を正しく行いましょう。
電話: 03-4363-5472
090-3432-2593
受付時間: 平日 AM 10:00 〜 PM 9:00
こんにちは 医学部受験指導専門プロ家庭教師の田中です。
今回は聖マリアンナ医科大学医学部2017年度数学入試問題から第1問の(1) ,(2)を解説します。(1)は極限値の標準問題です。分母と分子を因数分解型にしてから計算します。(2)は複素数の原点の周りの回転の計算を正しく行いましょう。


