聖マリアンナ医科大学医学部2020年度数学入試問題
こんにちは 医学部受験指導専門プロ家庭教師の吉田です。
今回は聖マリアンナ医科大学医学部2020年度数学入試問題から第1問小問集合を解説します。
(2)は対称性から重心をとるはずと考えることから発想が思いつきます。
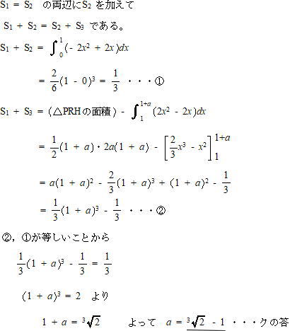
(3)はS2を加えて考えることで、計算が少し簡単になります。
電話: 03-4363-5472
090-3432-2593
受付時間: 平日 AM 10:00 〜 PM 9:00
こんにちは 医学部受験指導専門プロ家庭教師の吉田です。
今回は聖マリアンナ医科大学医学部2020年度数学入試問題から第1問小問集合を解説します。
(2)は対称性から重心をとるはずと考えることから発想が思いつきます。
(3)はS2を加えて考えることで、計算が少し簡単になります。








