東邦大学医学部過去問研究2016年度物理入試問題
こんにちは 数学指導プロ家庭教師の田中です。
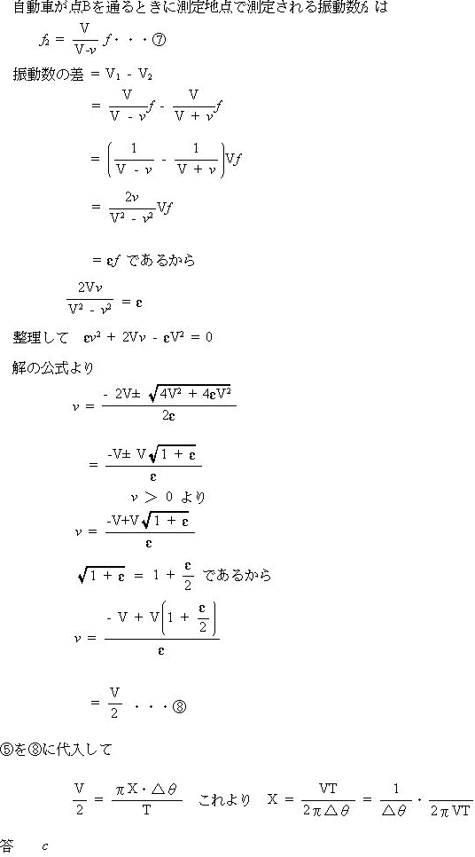
今回は「音波」のドップラー効果の問題を解説します。半径Rを自分でおくことから始まります。式を整理して簡単な形にまとめあげていきます。
今回は「音波」のドップラー効果の問題を解説します。半径Rを自分でおくことから始まります。式を整理して簡単な形にまとめあげていきます。
電話: 03-4363-5472
090-3432-2593
受付時間: 平日 AM 10:00 〜 PM 9:00


