東邦大学医学部過去問研究2016年度数学入試問題
こんにちは 数学指導プロ家庭教師の田中です。
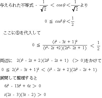
今回は東邦大学2016年度数学入試問題[11]の平面ベクトルの問題を解説します。内分の公式と内積の公式を正しく持ちいて3次不等式を解く事によって解決する標準問題です。
今回は東邦大学2016年度数学入試問題[11]の平面ベクトルの問題を解説します。内分の公式と内積の公式を正しく持ちいて3次不等式を解く事によって解決する標準問題です。
電話: 03-4363-5472
090-3432-2593
受付時間: 平日 AM 10:00 〜 PM 9:00





