藤田保健衛生大学医学部入試問題研究
平成27年度 藤田保健衛生大学医学部一般入学試験問題数学第3問
こんにちは 医学部受験指導専門プロ家庭教師の田中です。今回は藤田保健衛生大学医学部一般入学試験問題 数学第3問を解説します。
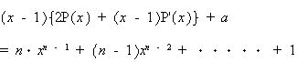
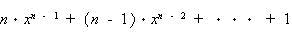
数学Ⅱの微分法の問題です。計算を丁寧に行うことが肝心です。③の式で a + b = n などと数え間違わないように注意しましょう。
電話: 03-4363-5472
090-3432-2593
受付時間: 平日 AM 10:00 〜 PM 9:00
平成27年度 藤田保健衛生大学医学部一般入学試験問題数学第3問
こんにちは 医学部受験指導専門プロ家庭教師の田中です。今回は藤田保健衛生大学医学部一般入学試験問題 数学第3問を解説します。
数学Ⅱの微分法の問題です。計算を丁寧に行うことが肝心です。③の式で a + b = n などと数え間違わないように注意しましょう。





| |
||||||||||||||||||||||||||||||||||||||||||||||||||||||||||||||||||||||||||||||||||
|
||||||||||||||||||||||||||||||||||||||||||||||||||||||||||||||||||||||||||||||||||