東京都市大学等々力高等学校過去問研究
新着情報
2026年度東京都市大学等々力高校変更点
単願・併願優遇における内申基準について
単願旧基準 3科13以上 かつ 5科21以上
新基準 3科14以上 または 5科23以上
併願優遇旧基準3科14以上 かつ 5科23以上
新基準 3科15 または 5科24以上
単願・併願優遇における加点措置について 英検のみ
旧基準【準2級を取得している場合】3科または5科のいずれかに加点1
新基準【準2級・準2級プラスを取得している場合】 5科のみに加点1
旧基準【2級以上を取得している場合】3科、5科それぞれに加点1または 3科または5科のいずれかに加点2
新基準【2級以上を取得している場合】3科または5科のいずれかに加点2
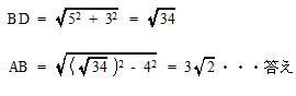
2025年度東京都市大学等々力高校一般入学試験数学の出題内容は例年通り大問6題構成で1.四則計算3問,2.小問集合5問,3.正六角形の辺上の点移動 4.平面図形3問,5.相似形の証明問題 6.関数が出題されました。
出題内容やボリューム難易度に変更はなく標準レベルの出題でした。
今回は2025年度東京都市大学等々力高校一般数学入試問題4.平面図形3問を解説します。





